- 1 名前:ここからは表現の自由でイカせていただきます 投稿日時:2026/02/22(日) 08:36:47.717 ID:inaC074HL
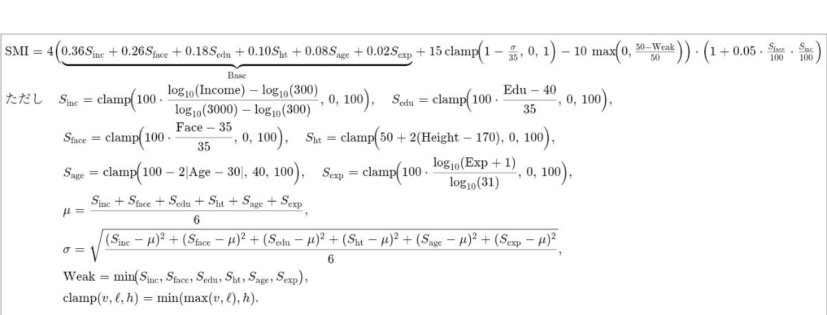
- 名付けてSMI(ストロングマンインデックス)やw
すまん、どうする?wちなこのサイトで自分SMIの計算ができる
- 2 名前:ここからは表現の自由でイカせていただきます 投稿日時:2026/02/22(日) 08:39:28.279 ID:Os8EduR9Z
- すご
- 4 名前:ここからは表現の自由でイカせていただきます 投稿日時:2026/02/22(日) 08:39:54.086 ID:inaC074HL
- >>2
多分エッヂ民基準の強者男性をここまでの精度で識別する数式を作った奴は未だかつてワイしかおらんな - 7 名前:ここからは表現の自由でイカせていただきます 投稿日時:2026/02/22(日) 08:40:58.698 ID:Os8EduR9Z
- >>4
どうやってこれ作ったんや - 8 名前:ここからは表現の自由でイカせていただきます 投稿日時:2026/02/22(日) 08:41:07.449 ID:inaC074HL
- >>7
AIや - 11 名前:ここからは表現の自由でイカせていただきます 投稿日時:2026/02/22(日) 08:41:58.426 ID:Os8EduR9Z
- >>8
そうじゃなくて
AIで具体的にどうつくったんや - 14 名前:ここからは表現の自由でイカせていただきます 投稿日時:2026/02/22(日) 08:43:05.658 ID:PYbkLVXKa
- >>11
こんなしょうもないサイトclaudeにリンク投げただけでぶっこ抜きできるだろ - 16 名前:ここからは表現の自由でイカせていただきます 投稿日時:2026/02/22(日) 08:43:59.252 ID:Os8EduR9Z
- >>14
リンクってなんや
すまぶら? - 18 名前:ここからは表現の自由でイカせていただきます 投稿日時:2026/02/22(日) 08:47:20.420 ID:Os8EduR9Z
- >>14
クランプってなんや?漫画家ならしってる - 23 名前:ここからは表現の自由でイカせていただきます 投稿日時:2026/02/22(日) 08:48:24.510 ID:inaC074HL
- >>11
replitっていうサイトや - 3 名前:ここからは表現の自由でイカせていただきます 投稿日時:2026/02/22(日) 08:39:38.239 ID:inaC074HL
- もう少し詳細に見ればこうや
- 5 名前:ここからは表現の自由でイカせていただきます 投稿日時:2026/02/22(日) 08:40:00.051 ID:4ItZ7DW1L
- 年収のとことか刻み幅細かすぎてスライダーで選択するのムズいから直接数値入力できるようにしてくれんか
あとこの結果画面は下の各項目の値もふくめて1080*1920でスクショできるのが望ましいと思うわ - 6 名前:ここからは表現の自由でイカせていただきます 投稿日時:2026/02/22(日) 08:40:45.877 ID:inaC074HL
- >>5
まあいいじゃんそういうの - 9 名前:ここからは表現の自由でイカせていただきます 投稿日時:2026/02/22(日) 08:41:39.563 ID:gBA0eOwuj
- せっかくclampで正規化したのに謎のハイパパラメータかけてるのなんや
- 10 名前:ここからは表現の自由でイカせていただきます 投稿日時:2026/02/22(日) 08:41:52.042 ID:4vn8AZiE0
- 男性平均のグラフきれいな六角形じゃないとおかしくねえ?
ほんでレス来ないからって自演するの辞めろ😡 - 12 名前:ここからは表現の自由でイカせていただきます 投稿日時:2026/02/22(日) 08:42:42.765 ID:k6wl/Dq8B
- 顔面と経験人数の正確な値がわからん
だいたいでいれたけど155だったわ - 13 名前:ここからは表現の自由でイカせていただきます 投稿日時:2026/02/22(日) 08:42:59.898 ID:h4iNQYs.p
- チャッピー製?
- 20 名前:ここからは表現の自由でイカせていただきます 投稿日時:2026/02/22(日) 08:48:14.800 ID:inaC074HL
- >>13
replit - 25 名前:ここからは表現の自由でイカせていただきます 投稿日時:2026/02/22(日) 08:48:42.511 ID:Os8EduR9Z
- >>20
ChatGDPと何が違うん - 28 名前:ここからは表現の自由でイカせていただきます 投稿日時:2026/02/22(日) 08:49:12.812 ID:inaC074HL
- >>25
普通にサイトプログラミング特化やね - 34 名前:ここからは表現の自由でイカせていただきます 投稿日時:2026/02/22(日) 08:52:48.382 ID:Os8EduR9Z
- >>28
ワイでもできる? - 48 名前:ここからは表現の自由でイカせていただきます 投稿日時:2026/02/22(日) 08:57:32.650 ID:inaC074HL
- >>34
やれるんじゃないの
簡単やで - 50 名前:ここからは表現の自由でイカせていただきます 投稿日時:2026/02/22(日) 08:57:51.000 ID:Os8EduR9Z
- >>48
ほんと?やり方教えて - 52 名前:ここからは表現の自由でイカせていただきます 投稿日時:2026/02/22(日) 08:58:19.442 ID:inaC074HL
- >>50
普通にreplit関連のnote読めば簡単や - 41 名前:ここからは表現の自由でイカせていただきます 投稿日時:2026/02/22(日) 08:55:13.292 ID:h4iNQYs.p
- >>20
ツール色々あるんやなサンガツ - 15 名前:ここからは表現の自由でイカせていただきます 投稿日時:2026/02/22(日) 08:43:40.596 ID:JQqXYC2/D
- ハゲ炙り出し定期
- 17 名前:ここからは表現の自由でイカせていただきます 投稿日時:2026/02/22(日) 08:44:06.857 ID:gBA0eOwuj
- 説明がつかない定数ある時点で終わってると思う
これ学会で発表したら総ツッコミ受けて終わるやん - 27 名前:ここからは表現の自由でイカせていただきます 投稿日時:2026/02/22(日) 08:48:59.950 ID:H44nsMOvy
- >>17
経験式ならそれでもええやろ - 19 名前:ここからは表現の自由でイカせていただきます 投稿日時:2026/02/22(日) 08:48:03.681 ID:H44nsMOvy
- 校長混じってるやろ
- 21 名前:ここからは表現の自由でイカせていただきます 投稿日時:2026/02/22(日) 08:48:18.430 ID:Os8EduR9Z
- 誰も答えてくれん
- 22 名前:ここからは表現の自由でイカせていただきます 投稿日時:2026/02/22(日) 08:48:22.493 ID:El0ybsFE6
- CodexやなくChatGPTで作ったんか
- 24 名前:ここからは表現の自由でイカせていただきます 投稿日時:2026/02/22(日) 08:48:32.131 ID:MEWC9JeCi
- 大人しく野球でも観てキャッキャしとけよ
- 26 名前:ここからは表現の自由でイカせていただきます 投稿日時:2026/02/22(日) 08:48:59.904 ID:4Px7vMHkN
- 顔面とかいう主観的なもの消せって
- 29 名前:ここからは表現の自由でイカせていただきます 投稿日時:2026/02/22(日) 08:49:38.844 ID:PYbkLVXKa
- ガキおるやん
- 31 名前:ここからは表現の自由でイカせていただきます 投稿日時:2026/02/22(日) 08:50:18.409 ID:Os8EduR9Z
- >>29
ワイのこと?
ワイ31やけど - 30 名前:ここからは表現の自由でイカせていただきます 投稿日時:2026/02/22(日) 08:50:12.927 ID:0YtRf55Gq
- 回答者の平均年収770万とか草
- 33 名前:ここからは表現の自由でイカせていただきます 投稿日時:2026/02/22(日) 08:51:02.142 ID:hoBgLmZ4e
- 適当に入れたやつのせいで平均値バグってるの草
性善説の敗北や - 35 名前:ここからは表現の自由でイカせていただきます 投稿日時:2026/02/22(日) 08:53:05.217 ID:jcV.I6WNd
- >>33
日本だけINTJが爆増したのと同じやな
日本人には自分をどうぶつに例えよう!くらいしか無理なんや - 36 名前:ここからは表現の自由でイカせていただきます 投稿日時:2026/02/22(日) 08:53:47.895 ID:b0DSP8pwf
- 適当に回答して平均値引き上げておいたぞ
- 37 名前:ここからは表現の自由でイカせていただきます 投稿日時:2026/02/22(日) 08:53:49.989 ID:jilvA4yG8
- おい専門卒はどう入れればええんや
- 38 名前:ここからは表現の自由でイカせていただきます 投稿日時:2026/02/22(日) 08:53:58.998 ID:T3hr5p3K0
- 体重80キロまでなぜ?
85キロあるんやが - 56 名前:ここからは表現の自由でイカせていただきます 投稿日時:2026/02/22(日) 08:59:34.179 ID:inaC074HL
- >>38
体重ちゃう
大学偏差値や - 39 名前:ここからは表現の自由でイカせていただきます 投稿日時:2026/02/22(日) 08:54:10.789 ID:9jImHnsbp
- 2000まんオーバー多すぎやろ
- 40 名前:ここからは表現の自由でイカせていただきます 投稿日時:2026/02/22(日) 08:54:46.979 ID:DrDQzoGpd
- >>39
とりあえずの見積もりで安倍晋三の数字入れたら低く見積もっても2000万やからしゃーない - 42 名前:ここからは表現の自由でイカせていただきます 投稿日時:2026/02/22(日) 08:55:19.851 ID:BM9UfAS2r
- 15歳選んでも大学偏差値選べるのはどういうこと?
海外基準とかそんな感じ? - 49 名前:ここからは表現の自由でイカせていただきます 投稿日時:2026/02/22(日) 08:57:48.687 ID:inaC074HL
- >>42
大卒以外をどう実装するか迷ってる - 53 名前:ここからは表現の自由でイカせていただきます 投稿日時:2026/02/22(日) 08:58:36.542 ID:jilvA4yG8
- >>49
ラジオボタンでええやろ - 54 名前:ここからは表現の自由でイカせていただきます 投稿日時:2026/02/22(日) 08:58:50.366 ID:inaC074HL
- >>53
家帰ったらやるンゴ - 43 名前:ここからは表現の自由でイカせていただきます 投稿日時:2026/02/22(日) 08:55:21.925 ID:UuRQY.uMw
- 童貞多過ぎでは
- 44 名前:ここからは表現の自由でイカせていただきます 投稿日時:2026/02/22(日) 08:55:36.727 ID:u1RrKiyIy
- お前ら年収低すぎね?
- 45 名前:ここからは表現の自由でイカせていただきます 投稿日時:2026/02/22(日) 08:56:05.222 ID:nIJZBkUaB
- パラメータの根拠は?
- 46 名前:ここからは表現の自由でイカせていただきます 投稿日時:2026/02/22(日) 08:56:39.882 ID:Os8EduR9Z
- ほんとすごい
- 47 名前:ここからは表現の自由でイカせていただきます 投稿日時:2026/02/22(日) 08:56:59.046 ID:jilvA4yG8
- 年収の最大値がデカすぎて細かい数字スライダーで選びづれえぞ
- 51 名前:ここからは表現の自由でイカせていただきます 投稿日時:2026/02/22(日) 08:58:06.103 ID:inaC074HL
- >>47
まあいいじゃんそういうの - 55 名前:ここからは表現の自由でイカせていただきます 投稿日時:2026/02/22(日) 08:59:22.307 ID:L/ShIN9Sa
- マジックナンバー多すぎ
こんな物理的根拠のない比例定数ばっかのクソ公式誰が使うの? - 59 名前:ここからは表現の自由でイカせていただきます 投稿日時:2026/02/22(日) 08:59:45.076 ID:inaC074HL
- >>55
物理で草 - 57 名前:ここからは表現の自由でイカせていただきます 投稿日時:2026/02/22(日) 08:59:39.977 ID:H44nsMOvy
- みんなアホみたいな値入れてるのに
大学偏差値だけ現実的な平均値になってるの何でやねん - 58 名前:ここからは表現の自由でイカせていただきます 投稿日時:2026/02/22(日) 08:59:44.653 ID:tQNc.YTZA
- 馬鹿みたいな方程式だな
- 60 名前:ここからは表現の自由でイカせていただきます 投稿日時:2026/02/22(日) 08:59:56.297 ID:I/o0fjT7b
- データがボロボロで草
- 61 名前:ここからは表現の自由でイカせていただきます 投稿日時:2026/02/22(日) 09:00:13.088 ID:nIJZBkUaB
- 数式の妥当性は?機械学習で出したの?
- 63 名前:ここからは表現の自由でイカせていただきます 投稿日時:2026/02/22(日) 09:00:30.699 ID:Os8EduR9Z
- イッチこれ絶対有能だろ
年収も1000万超えてそう
ワイ、ChatGPTと3時間格闘し強者男性を識別する完璧な"""公式"""を作ってしまったんやがwww
エッヂ






コメント