- 1 名前:ここからは表現の自由でイカせていただきます 投稿日時:2026/02/21(土) 22:26:21.743 ID:6tV1Su8lO
- 名付けてSMI(ストロングマンインデックス)やw
すまん、どうする?wちなここで自分SMIの計算ができる
https://smieddi.replit.app/ - 2 名前:ここからは表現の自由でイカせていただきます 投稿日時:2026/02/21(土) 22:27:13.939 ID:6tV1Su8lO
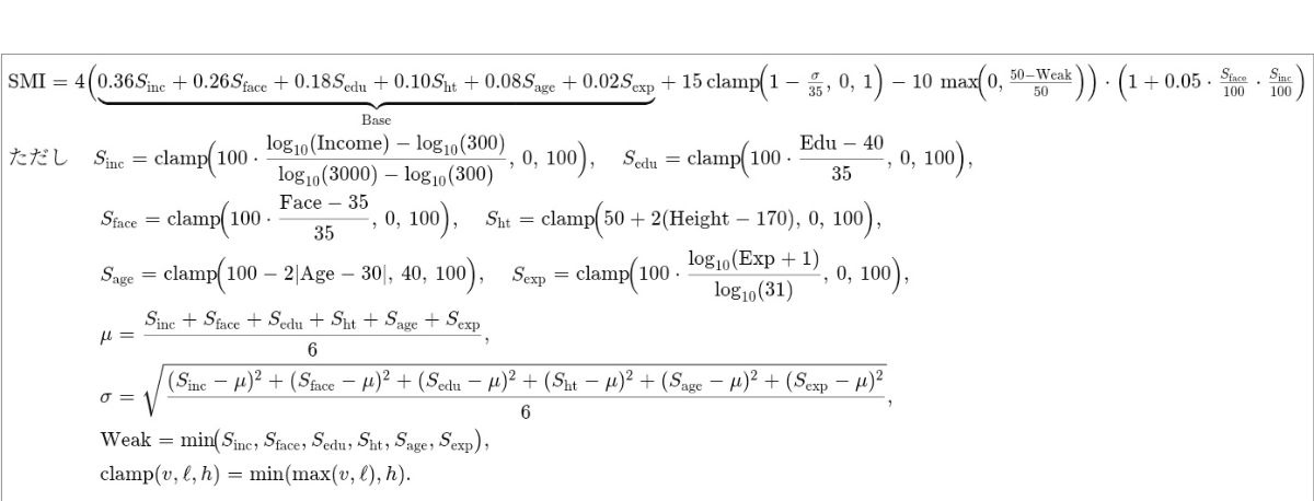
- もう少し詳細に見ればこうや
- 3 名前:ここからは表現の自由でイカせていただきます 投稿日時:2026/02/21(土) 22:27:25.563 ID:fmLBQLw1g
- ウイルス仕込まれない?
- 4 名前:ここからは表現の自由でイカせていただきます 投稿日時:2026/02/21(土) 22:27:40.534 ID:JDB7wBhWE
- マジで誰も使わなそう
- 7 名前:ここからは表現の自由でイカせていただきます 投稿日時:2026/02/21(土) 22:27:54.084 ID:6tV1Su8lO
- >>4
はい弱者男性w - 5 名前:ここからは表現の自由でイカせていただきます 投稿日時:2026/02/21(土) 22:27:41.498 ID:6tV1Su8lO
- 多分エッヂ民基準の強者男性をここまでの精度で識別する数式を作った奴は未だかつてワイしかおらんな
- 6 名前:ここからは表現の自由でイカせていただきます 投稿日時:2026/02/21(土) 22:27:45.064 ID:naQarmk5s
- 他はともかく画面偏差値は客観的な数値化が難しいからそこだけ残念やな
- 9 名前:ここからは表現の自由でイカせていただきます 投稿日時:2026/02/21(土) 22:28:03.723 ID:6tV1Su8lO
- >>6
たしかに - 8 名前:ここからは表現の自由でイカせていただきます 投稿日時:2026/02/21(土) 22:28:02.841 ID:nqxNcUNqD
- 自分の数字が示されたとしてそれが何なのかまるでわからん
- 10 名前:ここからは表現の自由でイカせていただきます 投稿日時:2026/02/21(土) 22:28:39.688 ID:6tV1Su8lO
- >>8
それは他にも貼るやつがおる想定や
それでマウント取り合うんや - 11 名前:ここからは表現の自由でイカせていただきます 投稿日時:2026/02/21(土) 22:28:45.169 ID:dy8Xoipp5
- スーパームキムキワイ?
- 12 名前:ここからは表現の自由でイカせていただきます 投稿日時:2026/02/21(土) 22:29:21.892 ID:6tV1Su8lO
- >>11
ワイのほうがムキムキやが - 15 名前:ここからは表現の自由でイカせていただきます 投稿日時:2026/02/21(土) 22:30:06.044 ID:dy8Xoipp5
- >>12
SMY知らんとか今すぐ首吊って4ねよゲェジ - 17 名前:ここからは表現の自由でイカせていただきます 投稿日時:2026/02/21(土) 22:30:46.793 ID:6tV1Su8lO
- >>15
そんな略し方してるやつ初めてみた
お前だったものもODMとかいうんか? - 26 名前:ここからは表現の自由でイカせていただきます 投稿日時:2026/02/21(土) 22:32:15.060 ID:dy8Xoipp5
- >>17
ええからはよ4ね - 51 名前:ここからは表現の自由でイカせていただきます 投稿日時:2026/02/21(土) 22:36:30.487 ID:ysDJKJ3z8
- >>17
にわかのお客さんかよ4ね - 57 名前:ここからは表現の自由でイカせていただきます 投稿日時:2026/02/21(土) 22:37:28.054 ID:6tV1Su8lO
- >>51
スーパームキムキワイが勧善懲悪して😡✋�~するやつじゃないのか? - 64 名前:ここからは表現の自由でイカせていただきます 投稿日時:2026/02/21(土) 22:39:02.573 ID:ysDJKJ3z8
- >>57
今必死こいて調べたんやろうけどそのスレにSMYって書かれまくってるよねにわかジジイ - 70 名前:ここからは表現の自由でイカせていただきます 投稿日時:2026/02/21(土) 22:40:30.534 ID:6tV1Su8lO
- >>64
はえ~
NWKやったわすまんなwktkキタ━━━━(゚∀゚)━━━━!!鳥 肌 注 意 - 13 名前:ここからは表現の自由でイカせていただきます 投稿日時:2026/02/21(土) 22:29:23.223 ID:eg3cASE0s
- 年収0円がないやんどうしてくれんの
- 16 名前:ここからは表現の自由でイカせていただきます 投稿日時:2026/02/21(土) 22:30:12.103 ID:6tV1Su8lO
- >>13
すまんなこの数式ではそもそも弱者男性は識別できないんだわw - 20 名前:ここからは表現の自由でイカせていただきます 投稿日時:2026/02/21(土) 22:31:16.621 ID:27jodlL7x
- スライダーしかないの使いづらすぎる
- 23 名前:ここからは表現の自由でイカせていただきます 投稿日時:2026/02/21(土) 22:31:35.294 ID:dXc2Q9MCR
- 今日1番笑ったかもしれん
- 24 名前:ここからは表現の自由でイカせていただきます 投稿日時:2026/02/21(土) 22:31:35.860 ID:1tmOweIkA
- 学歴は年収の要素に含まれてるからどっちかでええやろ
結局のところ将来性、能力を測るステータスでそのどちらも年収という結果に帰着するんやから - 30 名前:ここからは表現の自由でイカせていただきます 投稿日時:2026/02/21(土) 22:33:03.250 ID:GTF7Qmnwe
- >>24
学歴は知能ステータスやぞ - 44 名前:ここからは表現の自由でイカせていただきます 投稿日時:2026/02/21(土) 22:35:37.873 ID:1tmOweIkA
- >>30
知能も年収に集約される - 59 名前:ここからは表現の自由でイカせていただきます 投稿日時:2026/02/21(土) 22:37:40.493 ID:GTF7Qmnwe
- >>44
東大卒年収300万が知能が低いは無理ゲーやで - 67 名前:ここからは表現の自由でイカせていただきます 投稿日時:2026/02/21(土) 22:40:11.674 ID:1tmOweIkA
- >>59
逆にその理論なら最終的に稼げてない以上人を測るための指標にはなり得ないってことなんやで - 81 名前:ここからは表現の自由でイカせていただきます 投稿日時:2026/02/21(土) 22:42:20.463 ID:GTF7Qmnwe
- >>67
高学歴=知能が高い
人を測定するためのメジャーな指標やけど学歴コンプの方ですか - 73 名前:ここからは表現の自由でイカせていただきます 投稿日時:2026/02/21(土) 22:40:55.152 ID:ysDJKJ3z8
- >>59
典型的な勉強のできる馬鹿やん - 25 名前:ここからは表現の自由でイカせていただきます 投稿日時:2026/02/21(土) 22:32:09.389 ID:7zsX6CQNA
- 顔面偏差値なんでどうやって数値化するんだよ
- 27 名前:ここからは表現の自由でイカせていただきます 投稿日時:2026/02/21(土) 22:32:26.271 ID:zEnAIe.lp
- いきなり顔面偏差値出てきて草
知らねえよ - 28 名前:ここからは表現の自由でイカせていただきます 投稿日時:2026/02/21(土) 22:32:45.051 ID:fiNYJ9gR3
- 人種がないじゃん
- 29 名前:ここからは表現の自由でイカせていただきます 投稿日時:2026/02/21(土) 22:32:53.277 ID:s6lKyhU6D
- なんで年齢が
30歳>20歳なんだよ - 33 名前:ここからは表現の自由でイカせていただきます 投稿日時:2026/02/21(土) 22:33:27.539 ID:6tV1Su8lO
- >>29
そらあんた20歳より30歳のほうが強そうやん - 38 名前:ここからは表現の自由でイカせていただきます 投稿日時:2026/02/21(土) 22:34:46.568 ID:s6lKyhU6D
- >>33
強そうってなに?
変な主観入れんなよ - 31 名前:ここからは表現の自由でイカせていただきます 投稿日時:2026/02/21(土) 22:33:20.076 ID:fmLBQLw1g
- 30が最強なのはなんでなん
未来ある若者の方が強いやろ - 39 名前:ここからは表現の自由でイカせていただきます 投稿日時:2026/02/21(土) 22:34:52.456 ID:6tV1Su8lO
- >>31
エッヂ民の強者男性のイメージをそのまま踏襲してるからな
20代で1億持っててもエッヂではクソガキ、アフィキッズ扱いになるからな
その時点で強者男性とは言い難い - 45 名前:ここからは表現の自由でイカせていただきます 投稿日時:2026/02/21(土) 22:35:43.666 ID:s6lKyhU6D
- >>39
はあ?
なら30はおっちゃんだろ - 49 名前:ここからは表現の自由でイカせていただきます 投稿日時:2026/02/21(土) 22:36:08.701 ID:fmLBQLw1g
- >>39
でも単純に20歳で年収500万か30歳で年収500万なら前者が強いやろ?
その辺調整してーや - 53 名前:ここからは表現の自由でイカせていただきます 投稿日時:2026/02/21(土) 22:36:40.013 ID:6tV1Su8lO
- >>49
一理ある
修正する - 32 名前:ここからは表現の自由でイカせていただきます 投稿日時:2026/02/21(土) 22:33:21.312 ID:naQarmk5s
- 顔面は自己評価でいくらでも詐称できるから顔面写真撮って日本人の一般的な顔からどれくらい乖離してるかを指標化するようなアプリにしてくれんか?
- 34 名前:ここからは表現の自由でイカせていただきます 投稿日時:2026/02/21(土) 22:34:17.714 ID:upW/ZGfwc
- 経験人数ってソープもカウントしていいの?
- 47 名前:ここからは表現の自由でイカせていただきます 投稿日時:2026/02/21(土) 22:35:55.069 ID:6tV1Su8lO
- >>34
いうても影響要因としては非常に弱いからなんだってええぞ - 36 名前:ここからは表現の自由でイカせていただきます 投稿日時:2026/02/21(土) 22:34:30.141 ID:npjd0T3R0
- 顔面偏差値が主観的すぎるわ
最低にしちゃうわ - 37 名前:ここからは表現の自由でイカせていただきます 投稿日時:2026/02/21(土) 22:34:32.170 ID:JWjpfuG9A
- 違うなぁ
これを広めたいなら「ワイが作った〜」的な切り口じゃなくて
「最近流行ってるSMI(強者男性指数)を測定したんやが」みたいに第三者を装って広める
自分が作ったのすごいやろ?が先行しすぎ - 40 名前:ここからは表現の自由でイカせていただきます 投稿日時:2026/02/21(土) 22:34:58.735 ID:IV0/v4Dqc
- 125やったわ
- 41 名前:ここからは表現の自由でイカせていただきます 投稿日時:2026/02/21(土) 22:35:03.262 ID:p6PtjMlvE
- 偏差値は大学のでええんか?それならアベレージ50にはならんやろ
- 42 名前:ここからは表現の自由でイカせていただきます 投稿日時:2026/02/21(土) 22:35:19.504 ID:GTF7Qmnwe
- 都会度とかも必要やろ
- 43 名前:ここからは表現の自由でイカせていただきます 投稿日時:2026/02/21(土) 22:35:34.863 ID:xMGIUenWD
- 158で一般やった
- 46 名前:ここからは表現の自由でイカせていただきます 投稿日時:2026/02/21(土) 22:35:47.003 ID:Sx6rGWDHA
- 最大値デカすぎるのにスライダーにしてるの無能感すごいな
- 48 名前:ここからは表現の自由でイカせていただきます 投稿日時:2026/02/21(土) 22:36:02.859 ID:ysDJKJ3z8
- 年齢の基準30なの意味わからんし顔面偏差値とか一律の基準無いし経験200が上限やしガバ過ぎ
- 50 名前:ここからは表現の自由でイカせていただきます 投稿日時:2026/02/21(土) 22:36:19.019 ID:YZeeMPR7G
- 中卒高卒は大学偏差値どうしたらええんや
- 52 名前:ここからは表現の自由でイカせていただきます 投稿日時:2026/02/21(土) 22:36:36.383 ID:9m1R.USq1
- きめえんだよ30のジジイ
- 56 名前:ここからは表現の自由でイカせていただきます 投稿日時:2026/02/21(土) 22:37:05.631 ID:s6lKyhU6D
- >>52
あっそういうことか
納得したわ - 54 名前:ここからは表現の自由でイカせていただきます 投稿日時:2026/02/21(土) 22:36:56.769 ID:GZtb2AREE
- googlecanvasの方が使いやすいわ
replitはカス - 55 名前:ここからは表現の自由でイカせていただきます 投稿日時:2026/02/21(土) 22:37:01.662 ID:7X5kMfYn1
- 学歴なんてはっきり言って強男弱男論争で意味はないやろ。お前らやって旧帝陰キャより高卒DQNを強男と崇めてるやん
- 58 名前:ここからは表現の自由でイカせていただきます 投稿日時:2026/02/21(土) 22:37:34.821 ID:1LLbE69Dy
- コイツいつもの中国人じゃねえの?
情報抜かれるぞ - 60 名前:ここからは表現の自由でイカせていただきます 投稿日時:2026/02/21(土) 22:37:47.277 ID:KwX3U/j8E
- 筋肉の指標がないやん
- 61 名前:ここからは表現の自由でイカせていただきます 投稿日時:2026/02/21(土) 22:38:39.252 ID:6tV1Su8lO
- >>60
そんなものは匿名掲示板における強者男性には不要や - 63 名前:ここからは表現の自由でイカせていただきます 投稿日時:2026/02/21(土) 22:38:54.750 ID:5.EvRuCjY
- 国公立大学不利じゃないですか?
- 65 名前:ここからは表現の自由でイカせていただきます 投稿日時:2026/02/21(土) 22:39:19.279 ID:B4s3M7mhG
- なんかにデータ活用されそうで怖い
- 66 名前:ここからは表現の自由でイカせていただきます 投稿日時:2026/02/21(土) 22:39:37.197 ID:s6lKyhU6D
- おっちゃんが少しでもスコア良く見せるために自分の年齢=MAXと定義したのほんま草
- 68 名前:ここからは表現の自由でイカせていただきます 投稿日時:2026/02/21(土) 22:40:21.408 ID:OtQKWQufs
- 大学の偏差値おかしいやろ
- 69 名前:ここからは表現の自由でイカせていただきます 投稿日時:2026/02/21(土) 22:40:21.508 ID:naQarmk5s
- 顔面偏差値は控えめにしてるの草w
- 71 名前:ここからは表現の自由でイカせていただきます 投稿日時:2026/02/21(土) 22:40:45.342 ID:Sx6rGWDHA
- そもそも偏差値とか経験人数とか気にしてる男こそ弱者男性やろ
身長、年収、BIG3の合計値でええわ - 72 名前:ここからは表現の自由でイカせていただきます 投稿日時:2026/02/21(土) 22:40:46.050 ID:GTF7Qmnwe
- 都会住みか田舎住みかで強者かどうか変わってくるやろ
- 74 名前:ここからは表現の自由でイカせていただきます 投稿日時:2026/02/21(土) 22:41:08.802 ID:9qO9jEyyO
- エッヂ民の想定する強者って中卒or東大卒年収0円、ヒモ、女殴ってるみたいなやつやろ
- 75 名前:ここからは表現の自由でイカせていただきます 投稿日時:2026/02/21(土) 22:41:10.922 ID:GZtb2AREE
- こいつ透かしアプリ作った東大卒年収1500万円アラサーさんよな?
- 76 名前:ここからは表現の自由でイカせていただきます 投稿日時:2026/02/21(土) 22:41:27.973 ID:uA3oKir9o
- なんかもっとエ口いことできるソフト作ってくれよ
- 77 名前:ここからは表現の自由でイカせていただきます 投稿日時:2026/02/21(土) 22:41:41.311 ID:eNbuOgU.E
- 年齢これどういう基準であがるんや
- 83 名前:ここからは表現の自由でイカせていただきます 投稿日時:2026/02/21(土) 22:42:44.525 ID:okmpGxwq6
- >>77
30がmaxでそこから離れるだけ下がる - 78 名前:ここからは表現の自由でイカせていただきます 投稿日時:2026/02/21(土) 22:41:58.008 ID:nb05gel/3
- 機械学習でええやん、まあ作る知識ないやろうけど
- 80 名前:ここからは表現の自由でイカせていただきます 投稿日時:2026/02/21(土) 22:42:18.287 ID:6tV1Su8lO
- 30歳以下はクソガキなんや
クソガキは強者男性になるポテンシャルは秘めているが強者男性ではない
したがって強者男性は30代以上
そして30代以上のクソガキじゃないエッヂ民は30歳が一番偏差値高いつまり30歳が最強
S.M.Y
- 84 名前:ここからは表現の自由でイカせていただきます 投稿日時:2026/02/21(土) 22:43:51.180 ID:ysDJKJ3z8
- ジジイが自己正当化してて草
- 86 名前:ここからは表現の自由でイカせていただきます 投稿日時:2026/02/21(土) 22:44:42.255 ID:uvxTk3BGB
- 無駄に電気を使うな
- 87 名前:ここからは表現の自由でイカせていただきます 投稿日時:2026/02/21(土) 22:44:42.415 ID:3inlXAP3b
- この条件のみでは値が低いが
この条件と同時にこの条件を満たした場合は値が高いとかやったほうがよくないか? - 88 名前:ここからは表現の自由でイカせていただきます 投稿日時:2026/02/21(土) 22:45:07.814 ID:6tV1Su8lO
- >>87
シナジースコアは導入しとる
ワイ、ChatGPTと3時間格闘し強者男性を識別する完璧な"""公式"""を作ってしまったんやがwww
エッヂ





コメント